

What is HarmonyScape
HarmonyScape is a serene urban hub dedicated to fostering a harmonious connection between the body and its environment, harnessing the power of ambient noise for stress reduction.
HarmonyScape is a serene urban hub dedicated to fostering a harmonious connection between the body and its environment, harnessing the power of ambient noise for stress reduction.
Project Type
Industrial Design
Service Design
My Role
Designer
(Independent work)
Time Length
June 2023 - Dec 2023
Project Concept Demo


The city "rebond effect" caused by noise pollution has been impacting all of us.
The "rebound effect" in the context of cities refers to the phenomenon where efforts to improve efficiency, sustainability, or resource conservation within urban environments lead to unintended consequences, such as noise pollution and mental distress.





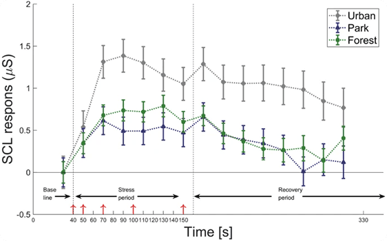
"Nature Therapy" effectively reduces mental distress.
Many city dwellers find physical contact with nature, such as hugging a tree, provide a grounding effect. It connects individuals with the Earth, promoting a sense of stability and balance. A Standford-led study finds quantifiable evidence that walking in nature could lead to a lower risk of depression.





HarmonyScape Focuses
Incorporating nature-friendly elements into densely populated areas, such as public stations, to create spaces for rejuvenation.
Deploying real-time generated sensors to merge data from human bodies with city noise data, enabling simultaneous participation of multiple individuals.
Creating a relaxation hub that visually embodies the essence of living energy.
Concept Design





Embracing the concept of reintroducing nature to the city, the flower shape symbolizes the eternal cycle of life.





Arduino Prototyping
Arduino Expriments
3 demonstrations of prototyping. The actual sound sensor will be placed near and distanced away from the installation, bluetooth connected to the system.
Future Urban-Health Dynamics
To mitigate urban rebound effects, the project will persist in promoting increased natural elements within urban areas to alleviate stress induced by excessive urbanization.
HarmonyScape will continue to evolve by incorporating smart technology to transform environmental challenges into efficient energy use, promoting a healthier lifestyle.
To mitigate urban rebound effects, the project will persist in promoting increased natural elements within urban areas to alleviate stress induced by excessive urbanization.
HarmonyScape will continue to evolve by incorporating smart technology to transform environmental challenges into efficient energy use, promoting a healthier lifestyle.



What is HarmonyScape
HarmonyScape is a serene urban hub dedicated to fostering a harmonious connection between the body and its environment, harnessing the power of ambient noise for stress reduction.
Project Type
Industrial Design
Service Design
My Role
Designer
(Independent work)
Time Length
June 2023 - Dec 2023
Project Concept Demo


The city "rebond effect" caused by noise pollution has been impacting all of us.
The "rebound effect" in the context of cities refers to the phenomenon where efforts to improve efficiency, sustainability, or resource conservation within urban environments lead to unintended consequences, such as noise pollution and mental distress.





"Nature Therapy" effectively reduces mental distress.
Many city dwellers find physical contact with nature, such as hugging a tree, provide a grounding effect. It connects individuals with the Earth, promoting a sense of stability and balance. A Standford-led study finds quantifiable evidence that walking in nature could lead to a lower risk of depression.



HarmonyScape Focuses
Incorporating nature-friendly elements into densely populated areas, such as public stations, to create spaces for rejuvenation.
Deploying real-time generated sensors to merge data from human bodies with city noise data, enabling simultaneous participation of multiple individuals.
Creating a relaxation hub that visually embodies the essence of living energy.
Concept Design



Embracing the concept of reintroducing nature to the city, the flower shape symbolizes the eternal cycle of life.



Arduino Prototyping
Arduino Expriments
3 demonstrations of prototyping. The actual sound sensor will be placed near and distanced away from the installation, bluetooth connected to the system.
Future Urban-Health Dynamics
To mitigate urban rebound effects, the project will persist in promoting increased natural elements within urban areas to alleviate stress induced by excessive urbanization.
HarmonyScape will continue to evolve by incorporating smart technology to transform environmental challenges into efficient energy use, promoting a healthier lifestyle.


